最近,凯发k8官网物理学院闻海虎、戴耀民、卢毅课题组与中山大学王猛课题组合作,在镍基超导研究中取得新进展。研究团队利用红外光谱技术测量并结合第一性原理计算,揭示了双层镍氧化物La3Ni2O7中存在强电子关联效应,并观测到密度波类型的部分能隙。
自从上世纪90年代铜氧化物高温超导体被发现以来,人们便致力于寻找与铜氧化物超导体具有类似电子结构的材料,从而探索出新型高温超导体。由于镍和铜在元素周期表中相邻,因此镍氧化物成为探寻高温超导电性的重要材料体系。2023年,中山大学王猛教授团队发现双层镍氧化物La3Ni2O7单晶在压力下存在转变温度高达80 K的超导电性,引起了全世界超导领域的广泛关注。该材料在常压下不具有超导电性,但在T* ? 115 K附近表现出类似密度波的相变。研究La3Ni2O7的电子关联和相变前后的光学响应可以为理解该材料中的超导电性和其它竞争序的本质提供关键信息。
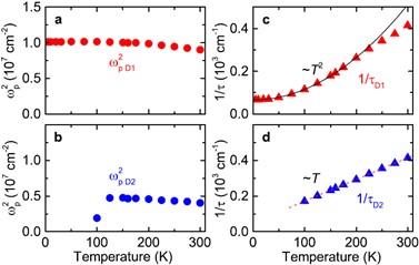
研究团队利用红外光谱技术测量了La3Ni2O7的反射率谱并转换成为光电导谱(图1a),然后与第一性原理计算的结果(图1c)进行对比。对比实验和理论计算的Drude谱重可以获得La3Ni2O7的电子动能比Kexp/Kband。他们发现实验光电导谱低频的Drude响应(以零能为中心的峰)明显弱于理论计算的结果,说明该材料中存在强电子关联效应。如图1d所示,La3Ni2O7具有非常小的Kexp/Kband = 0.022(实心五角星),表明该材料中强电子关联效应使其处于Mott绝缘相的边缘。实验光电导谱可以用2个Drude分量和一系列Lorentz分量拟合(图1a),2个Drude分量源于穿过费米能级的多条由Ni-dx2-y2和Ni-dz2轨道形成的能带(图1b),Lorentz分量则源于电子的带间跃迁。其中一个Drude分量表现为费米液体行为(图2c),且其谱重不受T* ? 115 K相变的影响(图2a),而另一个Drude分量表现为非费米液体行为(图2d),并且在T* ? 115 K相变以下消失(图2b)。这表明T* ? 115 K相变在费米面上打开了一个部分能隙,推测被移除的费米面处谱权重由电子关联较强的Ni-dz2轨道主导。


图1 (a) La3Ni2O7的光电导谱(T = 150 K)和Drude-Lorentz拟合结果,插图将低频的结果进行了放大。(b)和(c) 计算得到的La3Ni2O7的能带结构和光电导谱。(d) La3Ni2O7和一些其它典型材料的电子动能比Kexp/Kband。
图2 (a)和(c)分别对应D1分量的谱重和散射率随温度的演化。(b)和(d)分别显示D2分量的谱重和散射率随温度的演化。
相关成果以“Electronic correlations and partial gap in the bilayer nickelate La3Ni2O7”为题于2024年8月31日发表在Nature Communications [Nat. Commun. 15, 7570 (2024)]。该工作得到了国家重点研发计划、国家自然科学基金、固体微结构物理国家重点实验室以及人工微结构科学与技术协同创新中心的支持。凯发k8官网物理学院的博士生刘哲、李婕和中山大学博士生霍梦五为该论文的共同第一作者,戴耀民教授、卢毅教授、王猛教授和闻海虎教授为论文的共同通讯作者。
论文链接:https://www.nature.com/articles/s41467-024-52001-5